The DINAMelt Server - results for unnamed job 260417_090052
Job Parameters
Submitted at Fri 17 Apr 2026 09:00:54 AM UTC
5'-GCGC-3'
From -20°C by 1°C to 100°C as DNA
[A0] = 1e-06 M
[Na+] = 0.15 M, [Mg++] = 0 M (oligo mode)
Computation took 0.0 seconds (Log file)
Plots
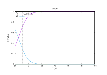
| Concentration Plot | |
|---|---|
![]() | |
| Download: Postscript PDF Text | |
| Heat Capacity Plot | Absorbance Plot |
![]() |
![]() |
| Download: Postscript PDF Text | Download: Postscript PDF Text |
| Download detailed plot: Postscript PDF | Download detailed plot: Postscript PDF |
Probability Dot Plots
Van't Hoff Plots
Important Numbers
Tm(Conc): -8.7°C
ΔG: 0.9 kcal/mol ΔH: 13.9 kcal/mol ΔS: 51.4 cal/mol/K Tm(Cp): -4.6°C
Tm(Ext2): -8.9°C
Download the entire job with all files, formatted as:
tar/bzip2
tar/gzip
zip
The first time you ask for an archive there may be a slight delay while it is created.


